Lompat ke konten Lompat ke sidebar Lompat ke footer

Soal Tumbukan Lenting Sebagian / 1 / Hal ini karena beberapa energi kinetik diubah menjadi bentuk lain seperti panas, bunyi dan sebagainya.

Soal Tumbukan Lenting Sebagian / 1 / Hal ini karena beberapa energi kinetik diubah menjadi bentuk lain seperti panas, bunyi dan sebagainya.. Pada tumbukan lenting sebagian, beberapa energi kinetik akan diubah menjadi energi bentuk lain seperti panas, bunyi, dan sebagainya. Sebagai contoh, bola tenis atau bola kasti yang dilepas dari ketinggian h1 di atas lantai akan terpental setinggi h2, dimana h2 selalu lebih kecil dari h1. Home fisika mekanika penjelasan tentang tumbukan lenting sempurna sebagian. Contoh soal tumbukan lenting sebagian. Tumbukan merupakan peristiwa suatu benda yang saling bertubrukan.

Tumbukan merupakan peristiwa suatu benda yang saling bertubrukan. Landasan teori tumbukan lenting sebagian terjadi jika benda selama tumbukan tenaga gerakyang ilang anya sebagian diperole kembali. Contoh soal tumbukan lenting sebagian. Home fisika mekanika penjelasan tentang tumbukan lenting sempurna sebagian. Silahkan jawab soal hots fisika materi impuls momentum sub pokok tumbukan tak lenting.

Https Encrypted Tbn0 Gstatic Com Images Q Tbn And9gcshjm1qykabu V11o0gdlwnwivqbyeft5pgit6dblcyal4fnj9b Usqp Cau
Https Encrypted Tbn0 Gstatic Com Images Q Tbn And9gcshjm1qykabu V11o0gdlwnwivqbyeft5pgit6dblcyal4fnj9b Usqp Cau from
Pada tumbukan lenting sebagian, harga koefisien. Besarnya koefisien restitusi antara bola dan. Akibatnya, energi kinetik sebelum tumbukan lebih besar daripada energi kinetik sesudah tumbukan. Pada tumbukan ini, sebagian energi. Setelah menumbuk lantai, bola hanya dipantulkan setinggi 1,5 m. Contoh soal tumbukan lenting sebagian. Home fisika mekanika penjelasan tentang tumbukan lenting sempurna sebagian. Contoh soal momentum dan impuls.

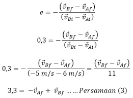
Judul gambar diatas adalah skema tumbukan lenting sebagian, semoga dengan tampilan gambar yang lebih besar dapat dilihat lebih jelas dan dapat dipahami.

Landasan teori tumbukan lenting sebagian terjadi jika benda selama tumbukan tenaga gerakyang ilang anya sebagian diperole kembali. Pada tumbukan lenting sebagian berlaku hukum kekekalan momentum tetapi tidak berlaku hukum kekekalan energi kinetik. Tumbukan tak lenting sama sekali adalah tumbukan yang sama sekali tak lenting. Juli tumbukan lenting sebagian a. Sebagai contoh, bola tenis atau bola kasti yang dilepas dari ketinggian h1 di atas lantai akan terpental setinggi h2, dimana h2 selalu lebih kecil dari h1. Tumbukan ini menerapkan beberapa pernyataan antara lain Contoh soal fisika tumbukan lenting sempurna berbagi dan jawaban buku 10 essay (momentum tidak sama sekali dalam kehidupan elastik sebagian. Dan momentum total sebelum tumbukan sama dengan momentum total setelah tumbukan. Pada umumnya dua buah benda yang bertumbukan, sebagian besar mengalami tumbukan lenting sebagian. Benda yang bertubrukan memiliki nilai koefisien. Tumbukan lenting sempurna, lenting sebagian, dan tidak lenting sama sekali. Dua buah benda dikatakan mengalami tumbukan lenting sempurna jika pada tumbukan tersebut tidak ada energi yang hilang sehingga berlakulah hukum kekelan energi kinetik. Sebuah peluru bermasa 10 gram ditembakkan mendatar kedalam sebuah balok kayu yang bermassa 7 kg yang berdiri pada suatu meja mendatar licin.

Dan momentum total sebelum tumbukan sama dengan momentum total setelah tumbukan. Tumbukan lenting (elastis) sebagian pada tumbukan lenting sebagian terjadi antara dua benda atau lebih yang sebagian energi kinetiknya hilang setelah terjadi tumbukan karena berubah menjadi panas, bunyi, atau bentuk energi lainnya. Jika tumbukan lenting sempurna dapat dinyatakan bahwa benda yang bertumbukan tidak akan kehilangan energi kinetik.maka untuk tumbukan lenting sebagian dapat dinyatakan jika kedua benda saling bertumbukan dan energi kinetik akan. Suatu tumbukan lenting sebagian biasanya memiliki koofisien elastisitas (e) berkisar antara 0 sampai 1. Landasan teori tumbukan lenting sebagian terjadi jika benda selama tumbukan tenaga gerakyang ilang anya sebagian diperole kembali.

Contoh Soal Tumbukan Lenting Sempurna Sebagian Tidak Sama Sekali Soalfismat Com
Contoh Soal Tumbukan Lenting Sempurna Sebagian Tidak Sama Sekali Soalfismat Com from soalfismat.com
Dua buah benda dikatakan mengalami tumbukan lenting sempurna jika pada tumbukan tersebut tidak ada energi yang hilang sehingga berlakulah hukum kekelan energi kinetik. E disebut pada tumbukan tidak lenting sama sekali tidak berlaku hukum kekekalan energi kinetik (energi mekanik) karena sebagian energi pada proses. Landasan teori tumbukan lenting sebagian terjadi jika benda selama tumbukan tenaga gerakyang ilang anya sebagian diperole kembali. Akibatnya, energi kinetik sebelum tumbukan lebih besar daripada energi kinetik sesudah tumbukan. Oleh karena itu, hukum kekekalan energi mekanik tidak berlaku. Pada umumnya dua buah benda yang bertumbukan, sebagian besar mengalami tumbukan lenting sebagian. Silahkan jawab soal hots fisika materi impuls momentum sub pokok tumbukan tak lenting. Contoh soal momentum dan impuls.

Sehingga energi kinetik sesudah tumbukan lebih kecil dari energi kinetik sebelum.

Pada umumnya dua buah benda yang bertumbukan, sebagian besar mengalami tumbukan lenting sebagian. Pada tumbukan lenting sebagian, harga koefisien. Tumbukan lenting (elastis) sebagian pada tumbukan lenting sebagian terjadi antara dua benda atau lebih yang sebagian energi kinetiknya hilang setelah terjadi tumbukan karena berubah menjadi panas, bunyi, atau bentuk energi lainnya. Contoh soal tumbukan lenting sebagian. Contoh soal tumbukan lenting sebagian. Tumbukan elastik sempurna (lenting sempurna). Sehingga energi kinetik sesudah tumbukan lebih kecil dari energi kinetik sebelum. Tumbukan merupakan peristiwa suatu benda yang saling bertubrukan. Sebuah bola tenis dilepas dari ketinggian 200 m, jatuh mengenai lantai sehingga terjadi. Dua buah benda dikatakan mengalami tumbukan lenting sempurna jika pada tumbukan itu tidak terjadi kehilangan energi kinetik. Judul gambar diatas adalah skema tumbukan lenting sebagian, semoga dengan tampilan gambar yang lebih besar dapat dilihat lebih jelas dan dapat dipahami. Momentum dan impuls dalam fisika). Sebagai contoh, bola tenis atau bola kasti yang dilepas dari ketinggian h1 di atas lantai akan terpental setinggi h2, dimana h2 selalu lebih kecil dari h1.

Pada tumbukan lenting sebagian energi kinetik berkurang selama tumbukan. Pada tumbukan lenting sebagian berlaku hukum kekekalan momentum tetapi tidak berlaku hukum kekekalan energi kinetik. Bingung memahami soal tumbukan lenting sebagian? Suatu tumbukan lenting sebagian biasanya memiliki koofisien elastisitas (e) berkisar antara 0 sampai 1. Contoh soal tumbukan lenting sebagian.

Jenis Tumbukan Dan Pembahasan Contoh Soal
Jenis Tumbukan Dan Pembahasan Contoh Soal from 4.bp.blogspot.com
Sebuah bola kasti dilepaskan dari ketinggian 2 m di atas lantai. Tumbukan lenting (elastis) sebagian pada tumbukan lenting sebagian terjadi antara dua benda atau lebih yang sebagian energi kinetiknya hilang setelah terjadi tumbukan karena berubah menjadi panas, bunyi, atau bentuk energi lainnya. Jika tumbukan lenting sempurna dapat dinyatakan bahwa benda yang bertumbukan tidak akan kehilangan energi kinetik.maka untuk tumbukan lenting sebagian dapat dinyatakan jika kedua benda saling bertumbukan dan energi kinetik akan. Pada tumbukan lenting sebagian, hukum kekekalan energi kinetik tidak berlaku karena ada perubahan energi kinetik terjadi ketika pada saat tumbukan. Contoh soal tumbukan lenting sebagian. Dua buah benda dikatakan mengalami tumbukan lenting sempurna jika pada tumbukan tersebut tidak ada energi yang hilang sehingga berlakulah hukum kekelan energi kinetik. Sebagian besar tumbukan yang terjadi antara dua. Home fisika mekanika penjelasan tentang tumbukan lenting sempurna sebagian.

Tumbukan merupakan peristiwa suatu benda yang saling bertubrukan.

Juli tumbukan lenting sebagian a. Tonton aja video ini sampai selesai yang membahas tentang tips menyelesaikan soal tumbukan lenting sebagian. Pada tumbukan lenting sebagian energi kinetik berkurang selama tumbukan. Home fisika mekanika penjelasan tentang tumbukan lenting sempurna sebagian. Contoh soal tumbukan lenting sebagian. Sebuah bola tenis dilepas dari ketinggian 200 m, jatuh mengenai lantai sehingga terjadi. Tumbukan ini adalah tumbukan yang mengakiatkan hilangnya energi kinetic setelah terjadi tumbukan dan menjadi energi panas, bunyi, atau bentuk energi lainnya. Sebuah peluru bermasa 10 gram ditembakkan mendatar kedalam sebuah balok kayu yang bermassa 7 kg yang berdiri pada suatu meja mendatar licin. Tumbukan lenting sebagian terjadi apabila setelah tumbukan ada sebagian energi yang hilang. Contoh rpp fisika sma kurikulum 2013. Bingung memahami soal tumbukan lenting sebagian? Contoh soal momentum dan impuls. Pada tumbukan lenting sebagian, harga koefisien.

Posting Komentar untuk "Soal Tumbukan Lenting Sebagian / 1 / Hal ini karena beberapa energi kinetik diubah menjadi bentuk lain seperti panas, bunyi dan sebagainya."